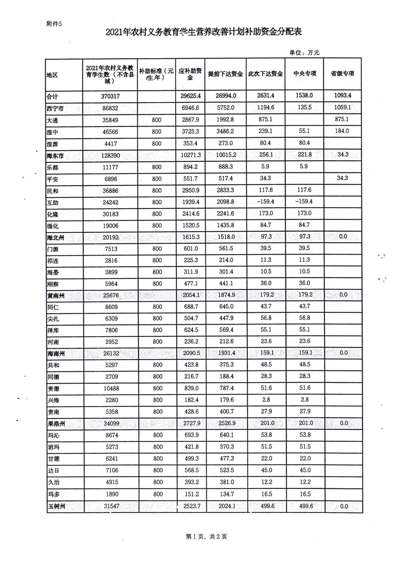
青海省财政厅青海省教育厅关于下达2021年城乡义务教育补助经费(市州)的通知
政策文号:青财教字〔2021〕685号    单位:青海省财政厅青海省教育厅    日期:2021-05-24























任何盗版、仿冒和抄袭本系统的单位或个人,本公司保留追究其法律责任的权利。